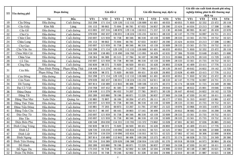
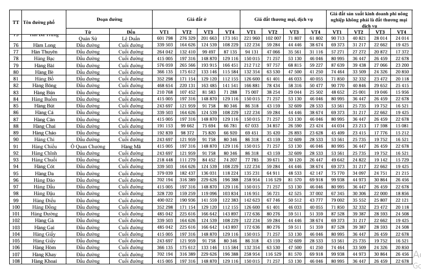
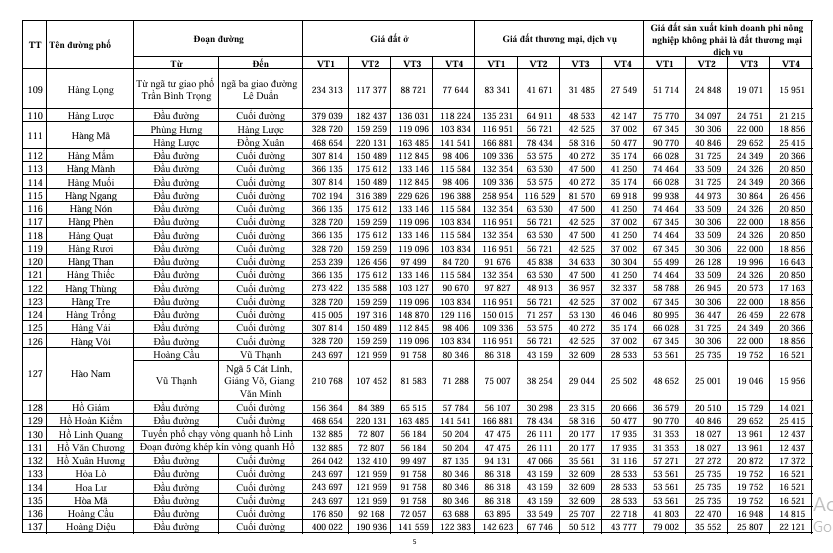
Từ ngày 1/1/2026 thành phố Hà Nội chính thức áp dụng Bảng giá đất thành phố hà nội mới theo Nghị quyết số 52/NQ-HĐND ngày 26/11/2025 của Hội đồng nhân dân thành phố Hà Nội quy định về Bảng giá đất lần đầu để công bố và áp dụng từ ngày 01 tháng 01 năm 2026 trên địa bàn thành phố Hà Nội.
Căn cứ theo Nghị quyết số 52/2025/NQ-HĐND ngày 26/11/2025 của Hội đồng nhân dân thành phố Hà Nội quy định về Bảng giá đất lần đầu để công bố và áp dụng từ ngày 01 tháng 01 năm 2026 trên địa bàn thành phố Hà Nội thì bảng giá đất tại các khu vực trên thành phố Hà Nội như sau:





Để xem chi tiết và đầy đủ, mời bạn tải xuống link dưới đây
Bạn đang gặp khó khăn về vấn đề đất đai? Hãy để Luật Tâm Phước Thịnh hỗ trợ:
Tư vấn miễn phí qua tổng đài
Hỗ trợ dịch vụ pháp lý trọn gói
Hỗ trợ trên toàn quốc
Chi phí hợp lý
Bảo mật thông tin
Thông tin liên hệ:
Hãy để luật sư Luật Tâm Phước Thịnh hỗ trợ bạn một cách tận tình, chuyên nghiệp và hiệu quả.
Luật sư tư vấn miễn phí: 1900.633.722
Yêu cầu dịch vụ Luật sư: 0977.843.642
Văn phòng: Số 17, ngõ 285, đường Khuất Duy Tiến, phường Đại Mỗ, thành phố Hà Nội
Tư vấn 24/7 – Kể cả thứ Bảy, Chủ nhật và ngày lễ
